Skip to content

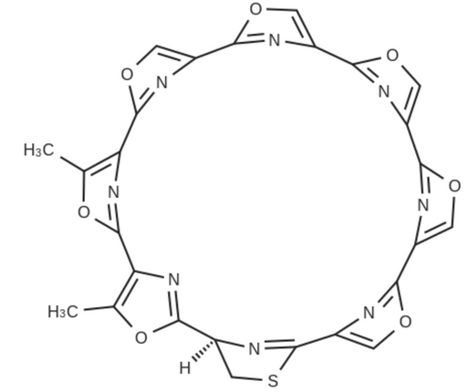
Telomestatin

Catalog No 0102-014602

CAS Number: 265114-54-3
Synonym: 4,8-Dimethyl-3,7,11,15,19,23,27-heptaoxa-31-thia-33,34,35,36,37,38,39,40-octaazanonacyclo[28.2.1.1.1.1.1.1.1.1]tetraconta-2(40),4,6(39),8,10(38),12,14(37), 16,18(36),20,22(35),24,26(34),28,30(33)-pentadecaene
Formula: C26H14N8O7S
Molecular Weight: 582.5
Purity: -
Form: -
Color: -
Storage Condition: 2-8°C
Transportation: -
Additional Information: -

Original price $0.00 - Original price $0.00
Original price
Enquire
$0.00 - $0.00
Current price Enquire
Request a Bulk Quote

Warning

For research and development use only. Not for human or veterinary use.

Chemical Grade

Format

Documentation