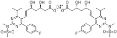
CAS Number: 147098-20-2
Synonym: -
Formula: C44H54CaF2N6O12S2
Molecular Weight: 1001.14
Purity: 98+%
Form: -
Color: -
Storage Condition: -
Transportation: -
Additional Information: -
Original price
-
Original price
Original price
-
Current price
Availability:
in stock, ready to be shipped
Warning
For research and development use only. Not for human or veterinary use.