Skip to content

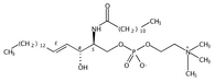
C12 Sphingomyelin Solution in Acetonitrile, 10μg/mL

Catalog No MSK158454-10A

CAS Number: 474923-21-2
Synonym: 12:0 SM (d18:1/12:0), N-lauroyl-D-erythro-sphingosylphosphorylcholine, powder;3,5-Dioxa-8-aza-4-phosphaeicosan-1-aminium, 4-hydroxy-7-[(1R,2E)-1-hydroxy-2-hexadecen-1-yl]-N,N,N-trimethyl-9-oxo-, inner salt, 4-oxide, (7S)-
Formula: C35H71N2O6P
Molecular Weight: 646.92
Purity: 98+%
Form: -
Color: -
Storage Condition: -
Transportation: -
Additional Information: -

Original price $0.00 - Original price $0.00
Original price
Enquire
$0.00 - $0.00
Current price Enquire
Request a Bulk Quote

Warning

For research and development use only. Not for human or veterinary use.

Chemical Grade

  • Reference Standard

Format

Documentation