Skip to content

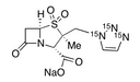
Tazobactam-15N3 sodium

Catalog No MSK2845NaN3

CAS Number: 89785-84-2 (Unlabeled)
Synonym: -
Formula: C10H11N*15N3NaO5S
Molecular Weight: 325.25
Purity: 98+%
Form: -
Color: -
Storage Condition: -
Transportation: -
Additional Information: -

Original price $0.00 - Original price $0.00
Original price
Enquire
$0.00 - $0.00
Current price Enquire
Request a Bulk Quote

Warning

For research and development use only. Not for human or veterinary use.

Chemical Grade

  • Reference Standard

Format

Documentation