Skip to content

Antiblaze V6 Solution in Acetonitrile, 100μg/mL

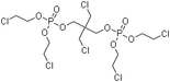
Catalog No MSK002071-100A

CAS Number: 38051-10-4
Synonym: -
Formula: C13H24Cl6O8P2
Molecular Weight: 582.99
Purity: 98+%
Form: -
Color: -
Storage Condition: -
Transportation: -
Additional Information: -

Original price $146.61 - Original price $146.61
Original price
$146.61
$146.61 - $146.61
Current price $146.61
Availability:
in stock, ready to be shipped
Request a Bulk Quote

Warning

For research and development use only. Not for human or veterinary use.

Chemical Grade

  • Reference Standard

Format

Documentation