Skip to content

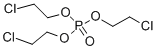
Tris(2-chloroethyl) phosphate Solution in Acetonitrile, 1000μg/mL

Catalog No MSK9050-1000A

CAS Number: 115-96-8
Synonym: -
Formula: C6H12Cl3O4P
Molecular Weight: 285.49
Purity: 98+%
Form: -
Color: -
Storage Condition: -
Transportation: -
Additional Information: -

Original price $106.50 - Original price $106.50
Original price
$106.50
$106.50 - $106.50
Current price $106.50
Availability:
in stock, ready to be shipped
Request a Bulk Quote

Warning

For research and development use only. Not for human or veterinary use.

Chemical Grade

  • Reference Standard

Format

Documentation