Skip to content

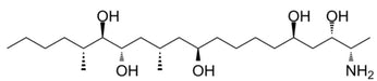
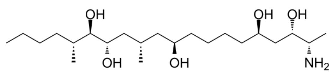
Hydrolyzed fumonisin B1

Catalog No MSK46013

CAS Number: 145040-09-1
Synonym: -
Formula: C22H47NO5
Molecular Weight:
Purity: 98+%
Form: -
Color: -
Storage Condition: -20°C
Transportation: Ice Bag Transportation
Additional Information: NA

Original price $0.00 - Original price $0.00
Original price
Enquire
$0.00 - $0.00
Current price Enquire
Request a Bulk Quote

Warning

For research and development use only. Not for human or veterinary use.

Chemical Grade

  • Reference Standard

Format

Documentation