Skip to content

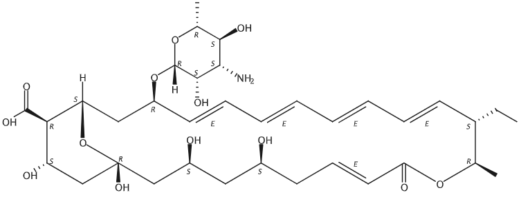
Tetramycin

Catalog No MSK14433

CAS Number: 11076-50-9
Synonym: -
Formula: C35H53NO13
Molecular Weight: 695.79
Purity: 98+%
Form: -
Color: -
Storage Condition: -
Transportation: -
Additional Information: -

Original price $0.00 - Original price $0.00
Original price
Enquire
$0.00 - $0.00
Current price Enquire
Request a Bulk Quote

Warning

For research and development use only. Not for human or veterinary use.

Chemical Grade

  • Reference Standard

Format

Documentation