Skip to content

Ethephon Solution in Methanol, 100μg/mL

Catalog No MSK24015-100M

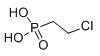
CAS Number: 16672-87-0
Synonym: -
Formula: C2H6ClO3P
Molecular Weight: 144.49
Purity: 98+%
Form: -
Color: -
Storage Condition: -
Transportation: -
Additional Information: -

Original price $125.10 - Original price $125.10
Original price
$125.10
$125.10 - $125.10
Current price $125.10
Availability:
in stock, ready to be shipped
Request a Bulk Quote

Warning

For research and development use only. Not for human or veterinary use.

Chemical Grade

  • Reference Standard

Format

Documentation