Skip to content

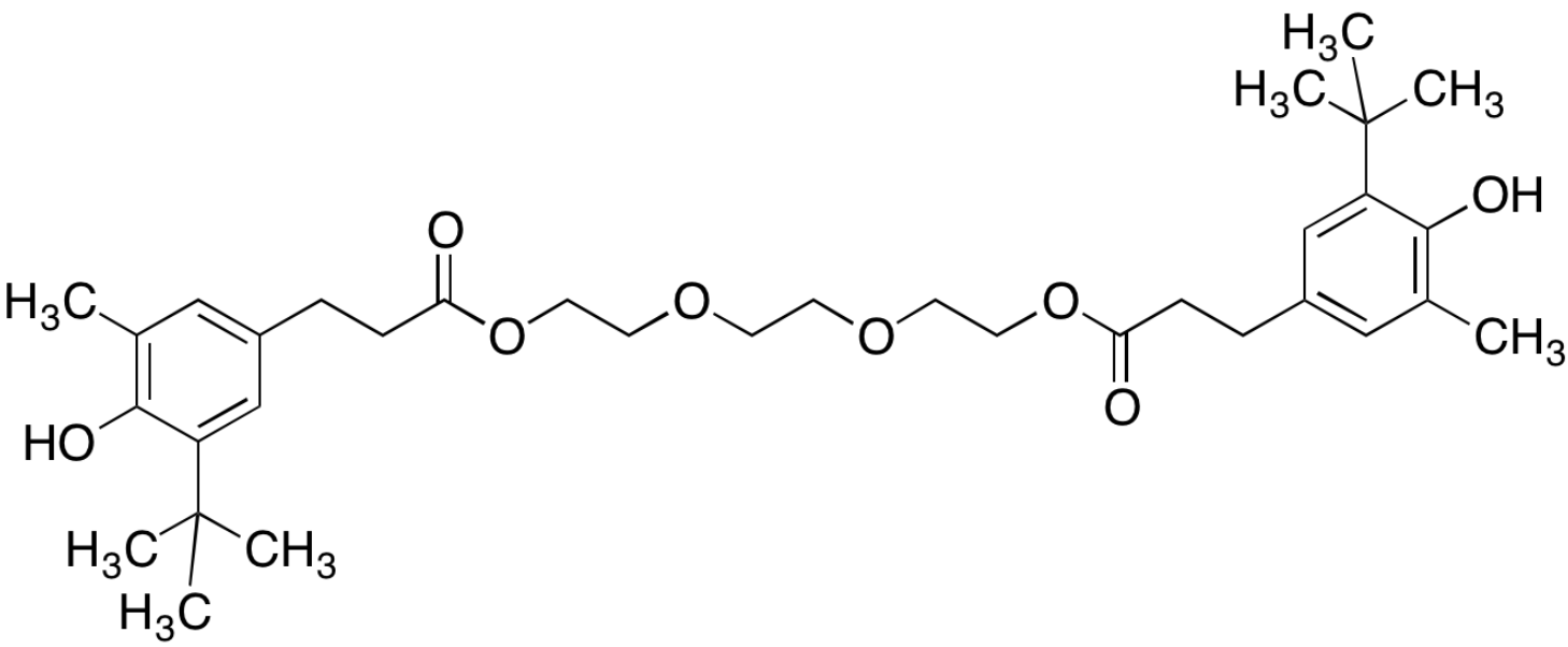
Antioxidant XH-245

Catalog No MSK3120

CAS Number: 36443-68-2
Synonym: -
Formula: C34H50O8
Molecular Weight: 586.76
Purity: 98+%
Form: -
Color: -
Storage Condition: -
Transportation: -
Additional Information: -

Original price $85.00 - Original price $85.00
Original price
$85.00
$85.00 - $85.00
Current price $85.00
Availability:
in stock, ready to be shipped
Request a Bulk Quote

Warning

For research and development use only. Not for human or veterinary use.

Chemical Grade

  • Reference Standard

Format

Documentation