CAS Number: 1217462-49-1
Synonym: -
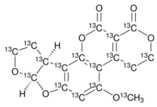
Formula: 13C17H14O7
Molecular Weight: 347.16
Purity: 98+%
Form: -
Color: -
Storage Condition: -
Transportation: -
Additional Information: -
Original price
-
Original price
Original price
Enquire
-
Current price
Enquire
Warning
For research and development use only. Not for human or veterinary use.