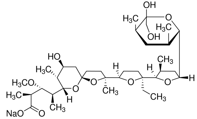
CAS Number: 28643-80-3
Synonym: -
Formula: C40H67O11Na
Molecular Weight: 746.94
Purity: 98+%
Form: -
Color: -
Storage Condition: -
Transportation: -
Additional Information: -
Original price
-
Original price
Original price
Enquire
-
Current price
Enquire
Warning
For research and development use only. Not for human or veterinary use.