Skip to content

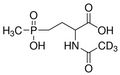
Glufosinate-N-acetyl-d3 Solution in Water, 100μg/mL

Catalog No MSK001117-100W

CAS Number: 1356992-90-9
Synonym: -
Formula: C7D3H11NO5P
Molecular Weight: 226.18
Purity: 98+%
Form: -
Color: -
Storage Condition: -
Transportation: -
Additional Information: -

Original price $427.50 - Original price $427.50
Original price
$427.50
$427.50 - $427.50
Current price $427.50
Availability:
in stock, ready to be shipped
Request a Bulk Quote

Warning

For research and development use only. Not for human or veterinary use.

Chemical Grade

  • Reference Standard

Format

Documentation