Skip to content

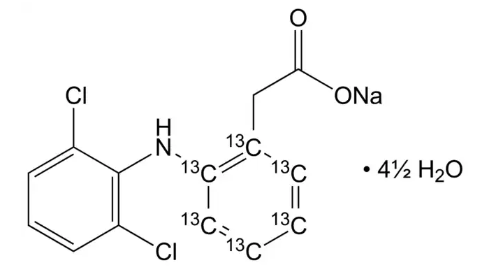
Diclofenac sodium-13C6 hydrate

Catalog No MSK10115C6W

CAS Number: 1261393-73-0 (Anhydrous)
Synonym: -
Formula: 13C6C8H11Cl2NO2·Na·4.5H2O
Molecular Weight: 405.16
Purity: 98+%
Form: -
Color: -
Storage Condition: -
Transportation: -
Additional Information: -

Original price $0.00 - Original price $0.00
Original price
Enquire
$0.00 - $0.00
Current price Enquire
Request a Bulk Quote

Warning

For research and development use only. Not for human or veterinary use.

Chemical Grade

  • Reference Standard

Format

Documentation