Skip to content

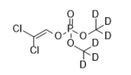
Dichlorvos-d6 Solution in Acetonitrile, 1000μg/mL

Catalog No MSK20097D6-1000A

CAS Number: 203645-53-8
Synonym: 2,2-Dichlorovinyl di(methyl-d3) phosphate, Dichlorvos-d6
Formula: C4HD6Cl2O4P
Molecular Weight: 227.01
Purity: 98+%
Form: Oil
Color: Clear to Brown
Storage Condition: -20°C
Transportation: -20°C±5°C
Additional Information: NA

Original price $216.00 - Original price $216.00
Original price
$216.00
$216.00 - $216.00
Current price $216.00
Availability:
in stock, ready to be shipped
Request a Bulk Quote

Warning

For research and development use only. Not for human or veterinary use.

Chemical Grade

  • Reference Standard

Format

Documentation