Skip to content

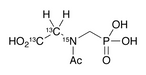
N-Acetyl glyphosate-13C2,15N Solution in Water, 100μg/mL

Catalog No MSK22814NC2-100W

CAS Number: 1346598-31-9
Synonym: -
Formula: C3*13C2H10*15NO6P
Molecular Weight: 214.09
Purity: 98+%
Form: -
Color: -
Storage Condition: -
Transportation: -
Additional Information: -

Original price $839.70 - Original price $839.70
Original price
$839.70
$839.70 - $839.70
Current price $839.70
Availability:
in stock, ready to be shipped
Request a Bulk Quote

Warning

For research and development use only. Not for human or veterinary use.

Chemical Grade

  • Reference Standard

Format

Documentation