Skip to content

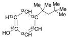
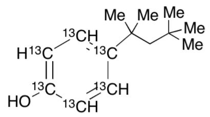
4-tert-Octylphenol-13C6

Catalog No MSK8702C6

CAS Number: 1173020-24-0
Synonym: -
Formula: 13C6C8H22O
Molecular Weight: 212.28
Purity: 98+%
Form: -
Color: -
Storage Condition: -
Transportation: -
Additional Information: -

Original price $0.00 - Original price $0.00
Original price
Enquire
$0.00 - $0.00
Current price Enquire
Request a Bulk Quote

Warning

For research and development use only. Not for human or veterinary use.

Chemical Grade

  • Reference Standard

Format

Documentation