Skip to content

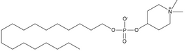
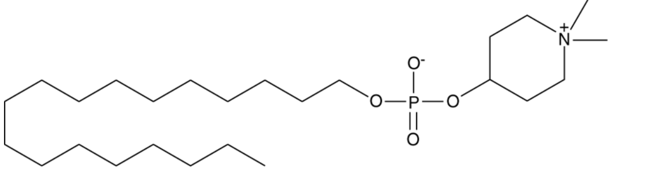
Perifosine

Catalog No 0102-019125

CAS Number: 157716-52-4
Synonym: 4-[[Hydroxy(octadecyloxy)phosphinyl]oxy]-1,1-dimethyl-piperidinium inner salt, KRX-0401, Octadecyl-(1,1-dimethyl-4-piperidylio) phosphate
Formula: C25H52NO4P
Molecular Weight: 461.66
Purity: -
Form: Powder
Color: White to Beige
Storage Condition: −20°C
Transportation: Wet ice
Additional Information: -

Original price $45.00 - Original price $45.00
Original price
$45.00
$45.00 - $45.00
Current price $45.00
Availability:
in stock, ready to be shipped
Request a Bulk Quote

Warning

For research and development use only. Not for human or veterinary use.

Chemical Grade

Format

Documentation