Skip to content

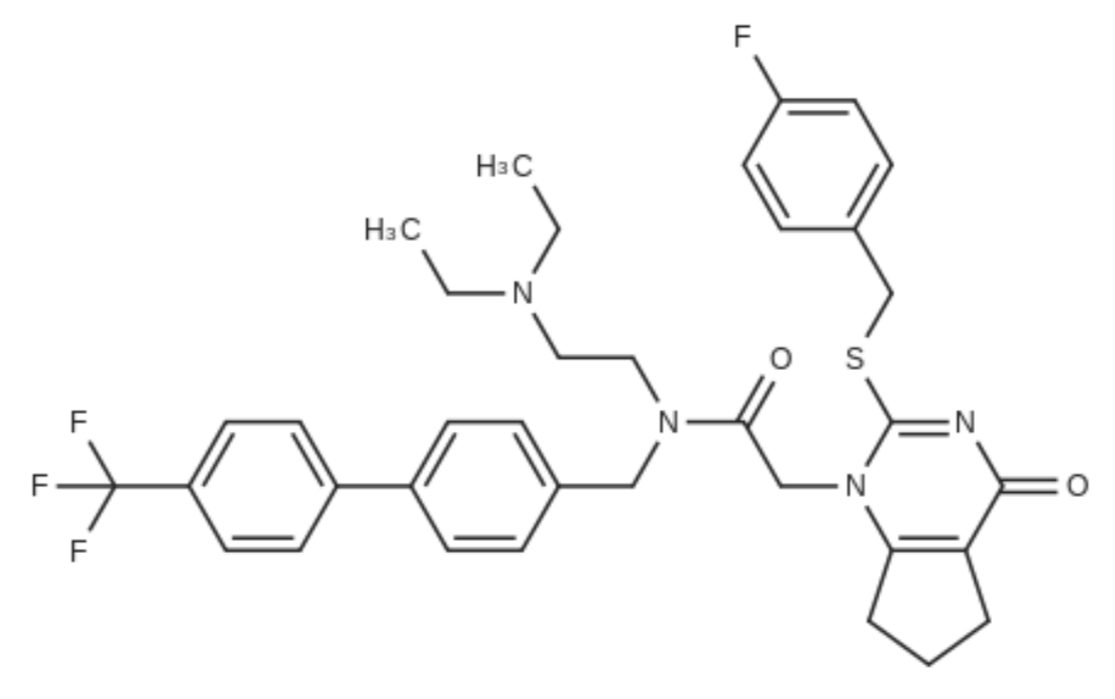
Darapladib

Catalog No 0104-080186

CAS Number: 356057-34-6
Synonym: 1-(N-(2-(Diethylamino)ethyl)-N-(4-(4-trifluoromethylphenyl)benzyl)aminocarbonylmethyl)-2-(4-fluorobenzyl)thio-5,6-trimethylenepyrimidin-4-one, N-[2-(Diethylamino)ethyl]-2-[[(4-fluorophenyl)methyl]thio]-4,5,6,7-tetrahydro-4-oxo-N-[[4′-(trifluoromethyl)[1,1′-biphenyl]-4-yl]methyl]-1H-cyclopentapyrimidine-1-acetamide, SB 435445, SB 480848, SB-435445, SB-480848, SB435445, SB480848
Formula: C36H38F4N4O2S
Molecular Weight: 666.77
Purity: 98+%
Form: Solid
Color: White to Beige
Storage Condition: 2-8°C
Transportation: -
Additional Information: -

Original price $0.00 - Original price $0.00
Original price
Enquire
$0.00 - $0.00
Current price Enquire
Request a Bulk Quote

Warning

For research and development use only. Not for human or veterinary use.

Chemical Grade

Format

Documentation