Skip to content

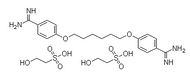
Hexamidine diisethionate

Catalog No MSK001955

CAS Number: 659-40-5
Synonym: -
Formula: C20H26N4O2·2(C2H6O4S)
Molecular Weight: 606.71
Purity: 98+%
Form: -
Color: -
Storage Condition: -
Transportation: -
Additional Information: -

Original price $160.00 - Original price $160.00
Original price
$160.00
$160.00 - $160.00
Current price $160.00
Availability:
in stock, ready to be shipped
Request a Bulk Quote

Warning

For research and development use only. Not for human or veterinary use.

Chemical Grade

  • Reference Standard

Format

Documentation