Skip to content

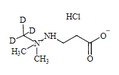
Meldonium-d3 hydrochloride

Catalog No MSK11101AD3

CAS Number: 76144-81-5(Unlabeled, free base)
Synonym: -
Formula: C6H11D3N2O2 (free base)
Molecular Weight: 149.21 (free base)
Purity: 98+%
Form: -
Color: -
Storage Condition: -
Transportation: -
Additional Information: -

Original price $0.00 - Original price $0.00
Original price
Enquire
$0.00 - $0.00
Current price Enquire
Request a Bulk Quote

Warning

For research and development use only. Not for human or veterinary use.

Chemical Grade

  • Reference Standard

Format

Documentation