Skip to content

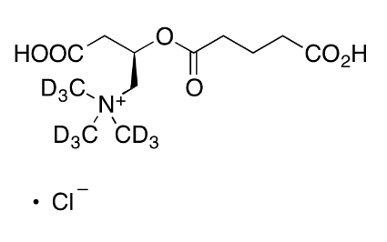
Glutarylcarnitine-d9 Solution in Acetonitrile/Water, 100μg/mL

Catalog No MSK162793D9-100AW

CAS Number: 102636-82-8 (Unlabelled)
Synonym: -
Formula: C12H12D9NO6
Molecular Weight: 284.36
Purity: 99.9+%
Form: Solid
Color: White
Storage Condition: 2-8°C
Transportation: ice bag transportation
Additional Information: -

Original price $145.00 - Original price $145.00
Original price
$145.00
$145.00 - $145.00
Current price $145.00
Availability:
in stock, ready to be shipped
Request a Bulk Quote

Warning

For research and development use only. Not for human or veterinary use.

Chemical Grade

  • Reference Standard

Format

Documentation