Skip to content

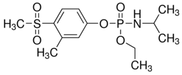
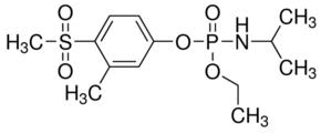
Fenamiphos sulfone Solution in Acetonitrile, 100μg/mL

Catalog No MSK20164-100A

CAS Number: 31972-44-8
Synonym: -
Formula: C13H22NO5PS
Molecular Weight: 335.36
Purity: 98+%
Form: -
Color: -
Storage Condition: -
Transportation: -
Additional Information: -

Original price $75.60 - Original price $75.60
Original price
$75.60
$75.60 - $75.60
Current price $75.60
Availability:
in stock, ready to be shipped
Request a Bulk Quote

Warning

For research and development use only. Not for human or veterinary use.

Chemical Grade

  • Reference Standard

Format

Documentation