Skip to content

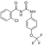
Triflumuron Solution in Methanol, 1000μg/mL

Catalog No MSK20338-1000M

CAS Number: 64628-44-0
Synonym: -
Formula: C15H10ClF3N2O3
Molecular Weight: 358.7
Purity: 98+%
Form: -
Color: -
Storage Condition: -
Transportation: -
Additional Information: -

Original price $105.00 - Original price $105.00
Original price
$105.00
$105.00 - $105.00
Current price $105.00
Availability:
in stock, ready to be shipped
Request a Bulk Quote

Warning

For research and development use only. Not for human or veterinary use.

Chemical Grade

  • Reference Standard

Format

Documentation