Skip to content

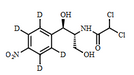
Chloramphenicol-d4 in Methanol, 100μg/mL

Catalog No MSK7001D4-100M

CAS Number: 56-75-7 (Unlabeled)
Synonym: -
Formula: C11H8D4Cl2N2O5
Molecular Weight: 327.15
Purity: 98+%
Form: -
Color: -
Storage Condition: -
Transportation: -
Additional Information: -

Original price $265.00 - Original price $265.00
Original price
$265.00
$265.00 - $265.00
Current price $265.00
Availability:
in stock, ready to be shipped
Request a Bulk Quote

Warning

For research and development use only. Not for human or veterinary use.

Chemical Grade

  • Reference Standard

Format

Documentation