Skip to content

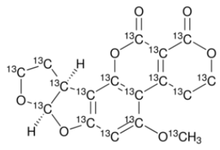
Aflatoxin G2-13C17 Solution in Acetonitrile, 0.5μg/mL

Catalog No MSK7208C17-0.5A

CAS Number: 1217462-49-1
Synonym: Dihydroaflatoxin G1-13C17
Formula: 13C17H14O7
Molecular Weight: 347.16
Purity: 98+%
Form: Liquid
Color: NA
Storage Condition: -20°C±5°C, light-sensitive
Transportation: Ice bag
Additional Information: -

Original price $925.00 - Original price $925.00
Original price
$925.00
$925.00 - $925.00
Current price $925.00
Availability:
in stock, ready to be shipped
Request a Bulk Quote

Warning

For research and development use only. Not for human or veterinary use.

Chemical Grade

  • Reference Standard

Format

Documentation